Sacyl Concurso de Traslados Abierto y Permanente.
1. Para la resolución de cada año podrá participar el personal estatutario fijo que cumpla los requisitos a fecha 1 de febrero de cada año. 2. Para cada resolución solo se tendrán en cuenta las solicitudes presentadas hasta el 15 de marzo de dicho año. Se podrá desistir de la solicitud presentada en cualquier momento del procedimiento y hasta el fin del plazo de presentación de alegaciones a la Resolución provisional. 3. Se podrán solicitar todas las plazas de la plantilla orgánica vigente Solo serán objeto de adjudicación las plazas que se encuentren vacantes a 30 de junio. 4. CERTIFICADO DE MÉRITOS: a) Personal que presta servicios en SACyL: El certificado se emitirá de oficio por el centro donde se encuentre prestando servicios. b) Personal que NO presta servicios en SACyL: Deberá presentar junto con su solicitud de participación, certificado de méritos o acreditación de haberlo solicitado en plazo. SOLICITUDES 1. Manual para cumplimentar la solicitud: MANUAL DE AYUDA PARA CUMPLIMENTAR LA SOLICITUD DEL CONCURSO (391.6 KB ) (12 páginas) 2. La solicitud deberá cumplimentarse sin acentos. 3. Las solicitudes para ser válidas deberán estar FIRMADAS por el interesado. 4. Las solicitudes irán dirigidas a: ILMA. DIRECTORA GENERAL DE PERSONAL Y DESARROLLO PROFESIONAL DE LA GERENCIA REGIONAL DE SALUD. SERVICIO DE PLANIFICACIÓN Y GESTIÓN DE PERSONAL. 5. Acceso al programa de solicitudes:https://concursoabierto.saludcastillayleon.es/ ORDEN SAN/1459/2025, de 17 de diciembre, por la que se resuelve definitivamente el concurso de traslados abierto y permanente para la provisión de plazas de personal estatutario en los centros e instituciones sanitarias de la Gerencia Regional de Salud de Castilla y León. FECHA DE CESE: 15 de enero de 2026 PLAZOS DE TOMA DE POSESIÓN: ORDEN SAN/1206/2025, de 28 de octubre, por la que se resuelve provisionalmente el concurso de traslados abierto y permanente para la provisión de plazas de personal estatutario en los centros e instituciones sanitarias de la Gerencia Regional de Salud de Castilla y León. Abrir un plazo de diez días hábiles, contados a partir del siguiente al de la publicación de esta orden en el Boletín Oficial de Castilla y León, para que los interesados puedan formular las alegaciones que estimen pertinentes (Hasta el día 14 de noviembre de 2025). Las alegaciones que versen sobre la valoración de méritos y la adjudicación provisional irán dirigidas a la Comisión de Valoración del concurso, cuya dirección a estos efectos es la de la Gerencia Regional de Salud de Castilla y León – Dirección General de Personal y Desarrollo Profesional-, Paseo de Zorrilla, n.º 1 – 47007 Valladolid ORDEN SAN/1487/2024, de 12 de diciembre, por la que se resuelve definitivamente el concurso de traslados abierto y permanente para la provisión de plazas de personal estatutario en los centros e instituciones sanitarias de la Gerencia Regional de Salud de Castilla y León FECHA DE CESE: 16 de enero de 2025 PLAZOS DE TOMA DE POSESIÓN: ORDEN SAN/1127/2024, de 25 de octubre, por la que se resuelve provisionalmente el concurso de traslados abierto y permanente para la provisión de plazas de personal estatutario en los centros e instituciones sanitarias de la Gerencia Regional de Salud de Castilla y León Abrir un plazo de diez días hábiles, contados a partir del siguiente al de la publicación de esta orden en el Boletín Oficial de Castilla y León, para que los interesados puedan formular las alegaciones que estimen pertinentes (Hasta el día 18 de noviembre de 2024). Las alegaciones que versen sobre la valoración de méritos y la adjudicación provisional irán dirigidas a la Comisión de Valoración del concurso, cuya dirección a estos efectos es la de la Gerencia Regional de Salud de Castilla y León – Dirección General de Personal y Desarrollo Profesional-, Paseo de Zorrilla, n.º 1 – 47007 Valladolid 
AÑO 2025
19 Diciembre 2025 – Listado definitivo de adm/exc
31 Octubre 2025 – Listado provisional de adm/exc
Resolución y listados
Listado provisional de baremación Enfermeras (TODAS)
Listado provisional de baremación Enfermeras Especialistas en Salud Mental (TODAS)
Listado provisional de baremación Enfermeras Especialistas en Obstetrico-Ginecologicas (TODAS)
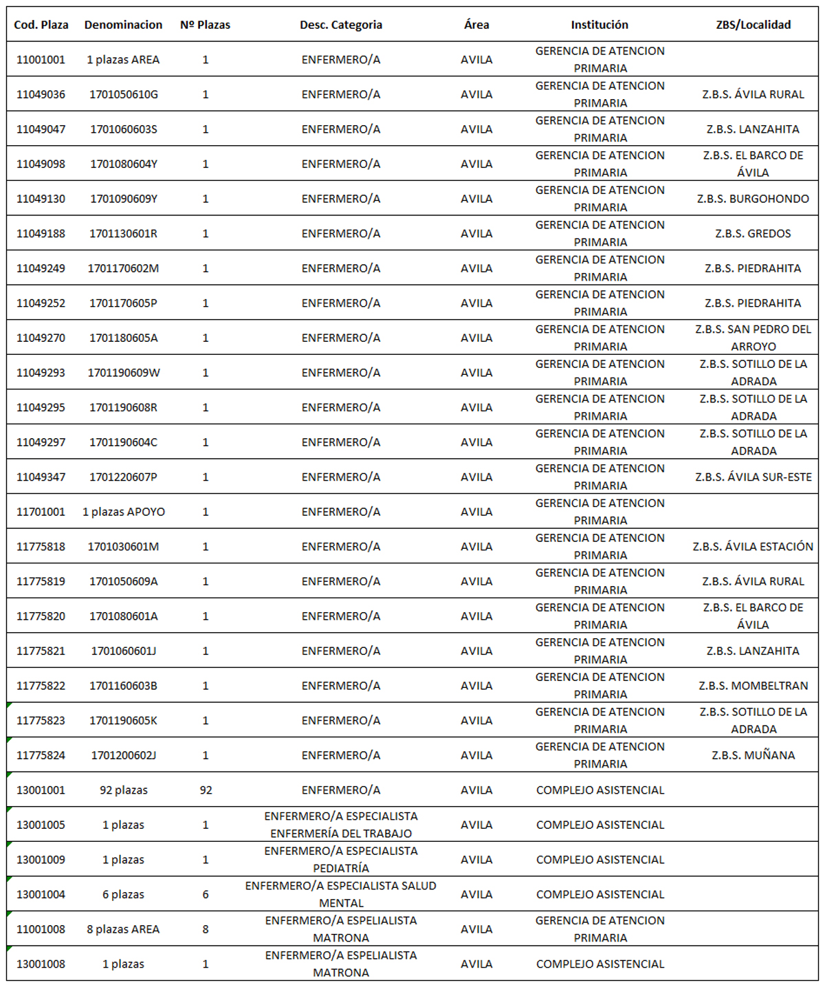
Listado provisional de baremación Enfermeras Especialistas en Pediatría (TODAS)09 Octubre 2025 – Información de plazas vacantes a 30 de junio de 2025
VACANTES CAYP A 30 DE JUNIO DE 2025 (TODAS)
VACANTES EXCLUIDAS A 30 JUNIO DE 2025
AÑO 2024
16 Diciembre 2024 – Listado definitivo de adm/exc
04 Noviembre 2024 – Listado provisional de adm/exc
Resolución y listados
Listado provisional de baremación Enfermeras (TODAS)
Listado provisional de baremación Enfermeras Especialistas en Salud Mental (TODAS)
Listado provisional de baremación Enfermeras Especialistas en Obstetrico-Ginecologicas (TODAS)
Listado provisional de baremación Enfermeras Especialistas en Trabajo (TODAS)27 Septiembre 2024 – VACANTES a 30 de junio de 2024
VACANTES CAYP A 30 DE JUNIO DE 2024 (TODAS)
VACANTES EXCLUIDAS A 30 JUNIO DE 2024![]()
